Contoh Soal Dan Pembahasan Integral Substitusi Dan Parsial. Dalam soal integral mempunyai banyak keragaman tersendiri sehingga dalam penyelesaiannya juga memerlukan metode metode yang beragam tersendiri pula. Tentukan hasil dari x 2 sin x π dx.
Substitusi dalam integral tentu. Demikianlah pembahasan mengenai contoh soal integral tentu tak tentu substitusi parsial dan rumus semoga dengan adanya ulasan tersebut dapat menambah wawasan dan pengetahuan kalian semua terima kasih banyak atas kunjungannya. Tentukanlah hasil dari.
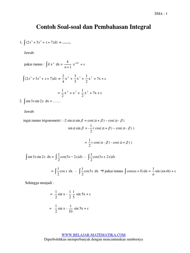
Contoh soal integral substitusi dan parsial dan pembahasan contoh soal 1.
Soal dan pembahasan integral metode substitusi posted by edutafsi on 22 april 2015 1 51 pm metode substitusi merupakan metode penyelesaian integral dengan mengubah bentuk fungsi menjadi lebih sederhana dalam bentuk variabel tertentu yang saling berhubungan dan ditandai dengan adanya pemisalan. Berikut cara pertama. Untuk contoh soal pertama ini kita akan coba bahas dengan dua cara yaitu dengan rumus integral parsial dan dengan tabel. 1 2 du atau u 1 2.
