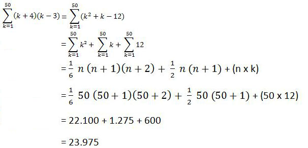
Contoh Soal Notasi Sigma Penjumlahan. Notasi sigma untuk persamaan di atas adalah. Berikut ini beberapa sifat dari notasi sigma yang dapat dijadikan panduan dalam mengerjakan soal soal.
Maka hasil penjumlahan notasi sigma tersebut adalah contoh lain tentang notasi sigma beserta pembahasannya dapat dilihat pada beberapa contoh soal di bawah. U i adalah suku. 1 adalah batas bawah.
Pengertian dan contoh soal notasi sigma by guru rizal posted on may 29 2019 may 29 2019 notasi sigma setelah sebelumnya contohsoalcoid telah menerangkang materi tentang rumus akar kuadrat namun dipertemuan kali ini contohsoalcoid akan membahas materi tentang.
Karena soal ini sering muncul pada berbagai tes atau ujian nasional usbn ataupun unbk. Contoh soal 1 nyatakan bentuk penjumlahan 4 8 12 16 1 000 dengan menggunakan notasi sigma. Sifat sifat notasi sigma. Notasi sigma untuk persamaan di atas adalah.
