website page counter

Soal Soal Standar Deviasi

The best Images

Soal Soal Standar Deviasi.

Contoh Soal Ujian Perangkat Desa Kunci Jawaban Ujian Perangkat Desa Desa Microsoft Office Word Office Word Microsoft Word 2010
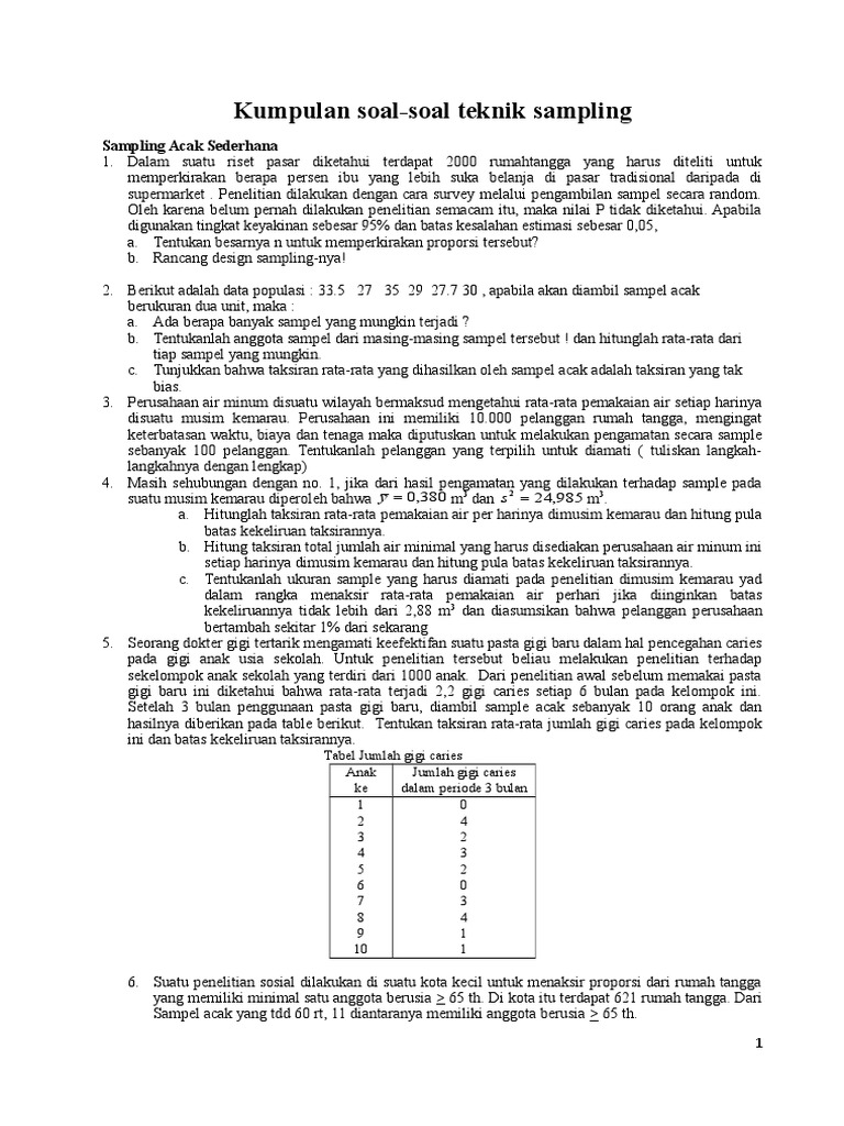
Contoh Soal Ujian Perangkat Desa Kunci Jawaban Ujian Perangkat Desa Desa Microsoft Office Word Office Word Microsoft Word 2010 from www.pinterest.com

close